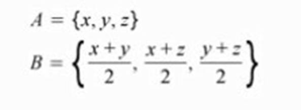
- (Topic 2)
In sets A and B shown, I < v < y < z. Which of the following statement is about .1 and H must be true? Indicate all such statements.
Correct Answer:
A
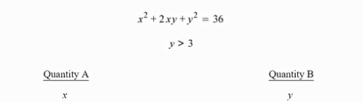
- (Topic 2)
Correct Answer:
B
- (Topic 3)
In contrast to today, when many readers consider the moral sentiments expressed in the ancient writer??s work to be quite sophomoric. in the writer'! own tune these sentiments were regarded as remarkably _____ .
Correct Answer:
C
- (Topic 3)
The snow-covered surface of the lake presents a reassuring illusion of _____ . but beneath the snow the ice is riven with treacherous cracks.
Correct Answer:
DE
- (Topic 3)
Suburbanization arguably ushered in numerous changes in (he way many people in the United States lived: the suburbs _____ a society based on unprecedented consumption and intense privacy.
Correct Answer:
AB
