- (Topic 3)
Our eating habits are rooted in our physiology, but they are also _____ the culture in which we grow up.
Correct Answer:
CD
- (Topic 3)
The importance of the Bill of Rights in twentieth-century United States law and politics has led some historians to search for the "original meaning" of its most controversial clauses. This approach. known as "originalism." presumes that each right codified in the Bill of Rights had au independent history that can be studied in isolation from the histories of other rights, and its proponents ask how formulations of the Bill of Rights in 1791 reflected developments in specific areas of legal thinking at that time. Legal and constitutional historians, for example, have found originalism especially useful in the study of provisions of the Bill of Rights that were innovative by eighteenth-century standards, such as the Fourth Amendment's broadly termed protection against "unreasonable searches and seizures." Recent calls in the legal and political arena for a return to a "jurisprudence of original intention." however, have made it a matter of much more than purely scholarly interest when originalists insist that a clause's true meaning was fixed at the moment of its adoption, or maintain that only those rights explicitly mentioned in the United States Constitution deserve constitutional recognition and protection. These two claims seemingly lend support to the notion that an interpreter must apply fixed definitions of a fixed number of rights to contemporary issues, for the claims imply that the central problem of rights in the Revolutionary era was to precisely identity, enumerate, and define those rights that Americans felt were crucial to protecting their liberty.
Both claims, however, are questionable from the perspective of a strictly historical inquiry, however sensible they may seem from the vantage point of contemporary jurisprudence. Even though originalists are correct in claiming that the search for original meaning is inherently historical, historians would not normally seek.
The passage suggests that a historian conducting a strictly historical inquiry would make which of the following assumptions when studying the Bill of Rights?
Correct Answer:
D
CORRECT TEXT - (Topic 2)
In the figure above, h is the height of triangle ABC from vertex B to base AC. What is the value of//?
Give your answer as a fraction-
Solution:
Answer is as:
Does this meet the goal?
Correct Answer:
A
- (Topic 2)
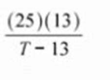
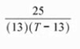
A certain train will travel from City A to City B. and then back to City A along the same route. The train is scheduled to spend a total of T hours traveling lime for the round-trip. The train travels from City A to City B in 13 hours, traveling at an average speed of 25 miles per hour. If the train is to arrive exactly on schedule, at what average speed must the train travel from City B to City A ?
A)
B)
C)
D)
E)
Correct Answer:
D
- (Topic 3)
Instances of "galactic cannibalism"—mergers in which large galaxies completely consume smaller ones—may be fairly common. Tidal forces produced by the Milky Way's powerful gravity, for example, appear to be dismantling and engulfing a dwarf galaxy in the constellation Sagittarius, producing large clumps and streamers of stars connecting the two galaxies. Astronomers have also observed two dense clusters of stars and gas at the heart of the Andromeda galaxy, an apparent "double nucleus" that may contain the remnant of a cannibalized dwarf galaxy. But this twin-lobed appearance could also be created by two parts of a single nucleus bisected by a lane of dust. Scientists believe that only about 25 percent of such apparent double nuclei actually represent galactic cannibalism. Many of the rest result from the illusion of proximity that occurs when objects at different distances appear along the same line of sight: others consist of debris from galactic "collisions." in which one galaxy has passed through another without merging, causing waves of new star formation.
The primary purpose of the passage is to
Correct Answer:
C