- (Topic 2)
Exhibit.
Correct Answer:
C
- (Topic 3)
Normally, seeds of Emmenathe penduliflora stay dormant for years and germinate only when a fire burns through their habitat. Nitrogen dioxide in the smoke induces the seeds to germinate. Fires clear the brush, allowing germinating seeds to receive the sunlight they need to grow. The plants mature quickly, produce seeds, and then die. In areas with heavy automobile traffic, however, the seed germinates in the absence of lire, with automobile exhaust supplying the required nitrogen dioxide.
The information given, if accurate, most strongly supports which of the following hypotheses?
Correct Answer:
C
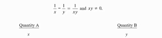
- (Topic 2)
Correct Answer:
C
- (Topic 2)
At a grocery store. Joe bought n bottles of a certain shampoo for a total price of SI 2.00. At a drugstore, Ann bought In bottles of the same shampoo for a total price of $16.00.
Correct Answer:
B
- (Topic 3)
In the present climate about half the atmospheric greenhouse effect comes from water vapor, about a quarter from clouds, and a fifth from carbon dioxide. According to Vallis. these numbers are necessarily) (i) _____ because the effects of the greenhouse gases are not always (ii) _____ . If the atmosphere is dry. then adding CO^ makes a big difference to the greenhouse effect, but if there is a large amount of water vapor in the atmosphere already producing a greenhouse effect, then adding CO (iii) _____ .
Correct Answer:
AEG